2月1日启用!济宁公布39处区间测速设备地点
搜狐焦点济宁房产网 2024-01-25 10:28:49
用手机看
扫描到手机,新闻随时看
扫一扫,用手机看文章
更加方便分享给朋友
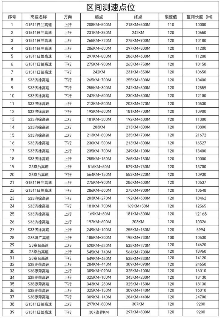
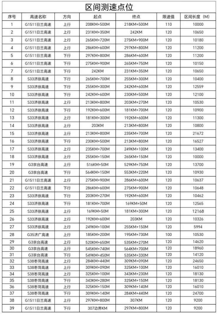
济宁市公安局高速公路交通警察支队发布关于公布测速设备设置地点的公告,全文如下。上述区间测速设备将于2024年02月1日正式启用,将依法对高速公路区间超速违法行为进行抓拍处罚。
搜狐网济宁小编了解到:1月24日,济宁市公安局高速公路交通警察支队发布关于公布测速设备设置地点的公告,全文如下。
为进一步加强高速公路交通安全管理,规范行车秩序,预防和减少道路交通事故发生,依据《中华人民共和国道路交通安全法》《中华人民共和国道路交通安全法实施条例》《山东省高速公路设置应用区间测速指导意见》等法律法规及规定,现将济宁市公安局高速公路交通警察支队测速取证设备地点公示如下:
一、设置地点
二、启用时间
上述区间测速设备将于2024年02月1日正式启用。公示期满后,将依法对高速公路区间超速违法行为进行抓拍处罚,请广大交通参与者自觉遵守交通法规,保持安全车速,平安出行,文明出行。
济宁市公安局高速公路交通警察支队
2024年01月24日
声明:本文由入驻焦点开放平台的作者撰写,除焦点官方账号外,观点仅代表作者本人,不代表焦点立场。


